Упр.540(стар учебник) ГДЗ Дорофеев Суворова 9 класс (Алгебра)
Решение #1

Рассмотрим вариант решения задания из учебника Дорофеев, Суворова, Бунимович 9 класс, Просвещение:
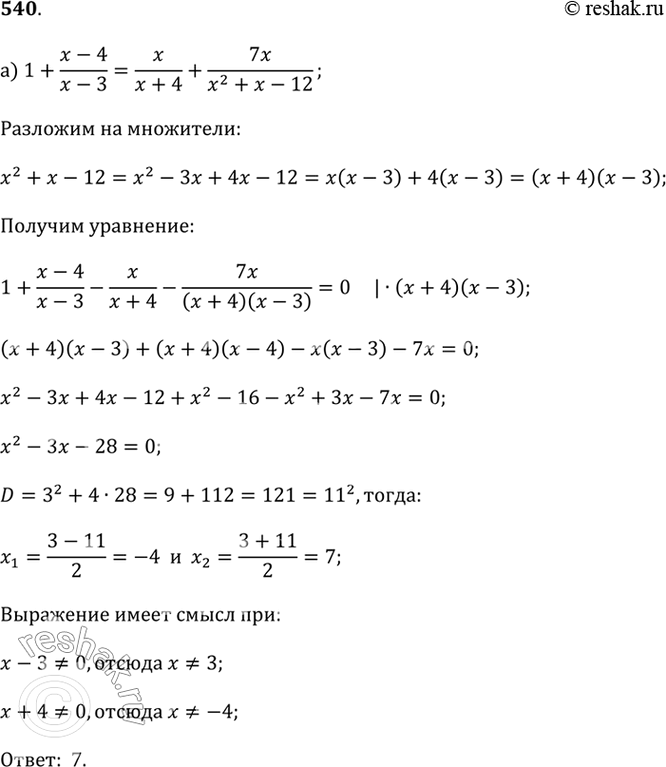
а) 1 + (x - 4)/(x - 3) = x/(x + 4) + 7x/(x^2 + x - 12);
б) 1 - 2/(x + 1) = 5/(x^2 - 2x - 3) - 4/(x - 3);
в) 2/(x + 2) - 6/(x^2 - 2x + 4) = 24/(x^3 + 8);
г) 3x/(x^3 - 1) - 3/(x^2 + x + 1) = 1/(x - 1).
Популярные решебники 9 класс Все решебники
*К сожалению, временные проблемы с публикацией комментариев с мобильных устройств.