Упр.539(стар учебник) ГДЗ Дорофеев Суворова 9 класс (Алгебра)
Решение #1

Рассмотрим вариант решения задания из учебника Дорофеев, Суворова, Бунимович 9 класс, Просвещение:
а) 1/(2 - x) - 1 = 1/(x - 2) - (6 - x)/(3x^2 - 12);
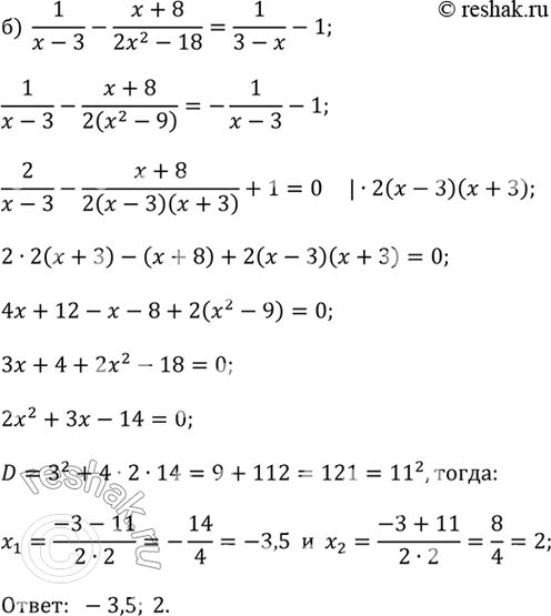
б) 1/(x - 3) - (x + 8)/(2x^2 - 18) = 1/(3 - x) - 1.
Популярные решебники 9 класс Все решебники
*К сожалению, временные проблемы с публикацией комментариев с мобильных устройств.