Упр.526(стар учебник) ГДЗ Дорофеев Суворова 9 класс (Алгебра)
Решение #1

Рассмотрим вариант решения задания из учебника Дорофеев, Суворова, Бунимович 9 класс, Просвещение:
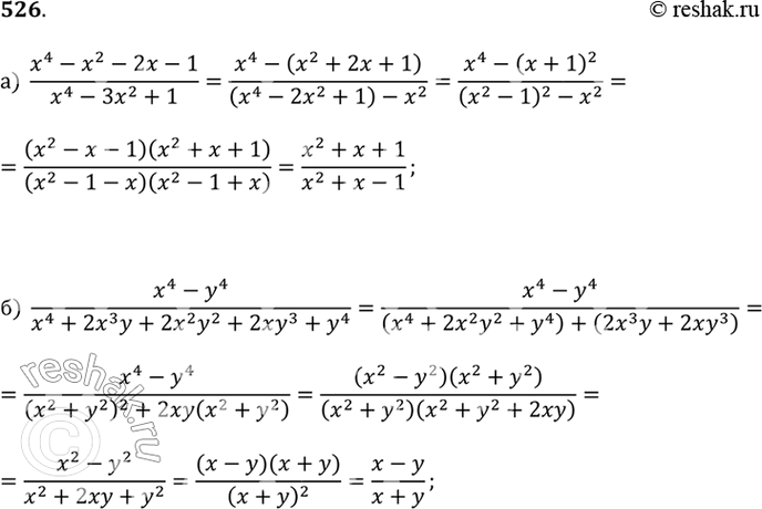
а) (x^4 - x^2 - 2x - 1)/(x^4 - 3x^2 + 1);
б) (x^4 - y^4)/(x^4 + 2x^3y + 2x^2y^2 + 2xy^3 + y^4).
Популярные решебники 9 класс Все решебники
*К сожалению, временные проблемы с публикацией комментариев с мобильных устройств.