Упр.525(стар учебник) ГДЗ Дорофеев Суворова 7 класс (Алгебра)
Решение #1

Рассмотрим вариант решения задания из учебника Дорофеев, Суворова, Бунимович 7 класс, Просвещение:
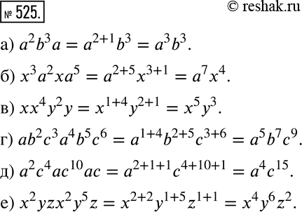
Упростите:
а) а2b3а;
б) х3а2хаb;
в) хх4у2у;
г) ab2c3a4bbc6;
д) а2с4ас10ас;
е) x2yzx2y5z.
Популярные решебники 7 класс Все решебники
*К сожалению, временные проблемы с публикацией комментариев с мобильных устройств.