Упр.519(стар учебник) ГДЗ Дорофеев Суворова 9 класс (Алгебра)
Решение #1

Рассмотрим вариант решения задания из учебника Дорофеев, Суворова, Бунимович 9 класс, Просвещение:
Вычислите значение выражения при заданных значениях переменных (если оно имеет смысл):
а) (1/x + 1/y) : (1/x - 1/y) при x = 3 и y = 6; x = -2 и y = 4; x = 15 и y = 15; x = 0,2 и y = 0,3;
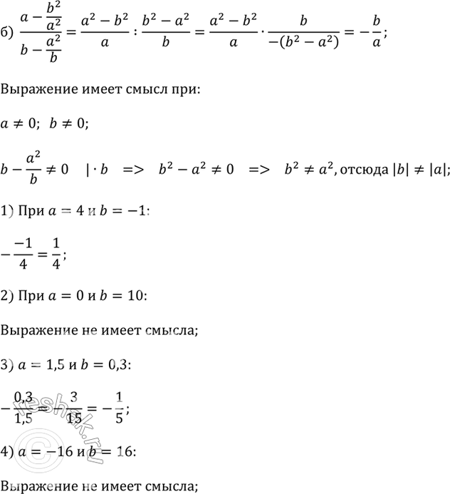
б) (a - b^2/a)/(b - a^2/b) при a = 4 и b = -1; a = 0 и b = 10; a = 1,5 и b = 0,3; a = -16 и b = -16.
Популярные решебники 9 класс Все решебники
*К сожалению, временные проблемы с публикацией комментариев с мобильных устройств.