Упр.421(стар учебник) ГДЗ Дорофеев Суворова 7 класс (Алгебра)
Решение #1

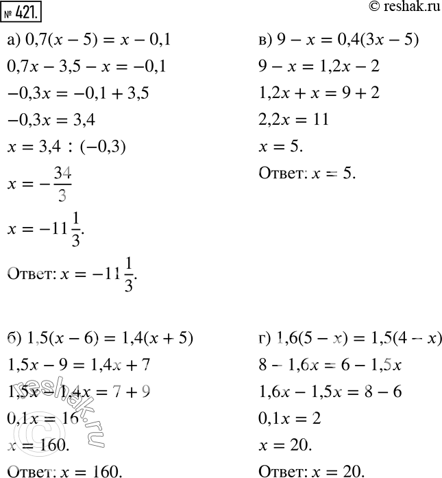
Рассмотрим вариант решения задания из учебника Дорофеев, Суворова, Бунимович 7 класс, Просвещение:
а) 0,7(x - 5) = х - 0,1;
б) 1,5(x-6)= 1,4(x + 5);
в) 9 - х = 0,4(3x - 5);
г) 1,6(5-х) = 1,5(4-x).
Популярные решебники 7 класс Все решебники
*размещая тексты в комментариях ниже, вы автоматически соглашаетесь с пользовательским соглашением