Упр.417(стар учебник) ГДЗ Дорофеев Суворова 8 класс (Алгебра)
Решение #1

Рассмотрим вариант решения задания из учебника Дорофеев, Суворова, Бунимович 8 класс, Просвещение:
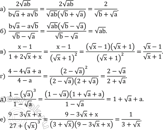
Сократите дробь:
а) (2vab)/(bva+avb);
б) (bva-avb)/(vb-va);
в) (x-1)/(1+2vx+x);
г) (4-4va+a)/(4-a);
д) (1-(va)^3)/(1-va);
е) (9-3vx+x)/(27+(vx)^3 ).
Популярные решебники 8 класс Все решебники
*размещая тексты в комментариях ниже, вы автоматически соглашаетесь с пользовательским соглашением