Упр.416(стар учебник) ГДЗ Дорофеев Суворова 8 класс (Алгебра)
Решение #1

Рассмотрим вариант решения задания из учебника Дорофеев, Суворова, Бунимович 8 класс, Просвещение:
Упростите выражение:
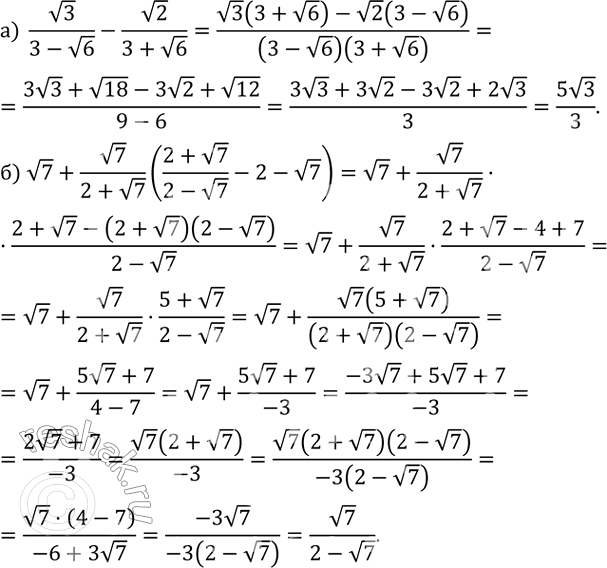
а) v3/(3-v6)-v2/(3+v6);
б) v7+v7/(2+v7) ((2+v7)/(2-v7)-2-v7);
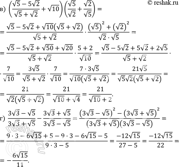
в) ((v5-5v2)/(v5+v2)+v10)(v5/v2+v2/v5);
г) (3v3-v5)/(3v3+v5)-(3v3+v5)/(3v3-v5).
Популярные решебники 8 класс Все решебники
*размещая тексты в комментариях ниже, вы автоматически соглашаетесь с пользовательским соглашением