Упр.413(стар учебник) ГДЗ Дорофеев Суворова 8 класс (Алгебра)
Решение #1

Рассмотрим вариант решения задания из учебника Дорофеев, Суворова, Бунимович 8 класс, Просвещение:
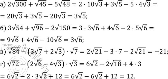
Докажите, что:
а) 2v300+v45-5v48=3v5;
б) 3v54+v96-2v150=3v6;
в) v84-(3v7+2v3)•v7=-21;
г) v72-(2v6-4v3)•v3=12.
Популярные решебники 8 класс Все решебники
*размещая тексты в комментариях ниже, вы автоматически соглашаетесь с пользовательским соглашением