Упр.408(стар учебник) ГДЗ Дорофеев Суворова 8 класс (Алгебра)
Решение #1

Рассмотрим вариант решения задания из учебника Дорофеев, Суворова, Бунимович 8 класс, Просвещение:
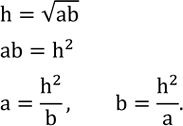
Высота h, проведенная из вершины прямого угла прямоугольного треугольника, вычисляется по формуле h=vab (рис.2.34). Выразите из этой формулы a и b.
Популярные решебники 8 класс Все решебники
*размещая тексты в комментариях ниже, вы автоматически соглашаетесь с пользовательским соглашением