Упр.36(стар учебник) ГДЗ Дорофеев Суворова 7 класс (Алгебра)
Решение #1

Рассмотрим вариант решения задания из учебника Дорофеев, Суворова, Бунимович 7 класс, Просвещение:
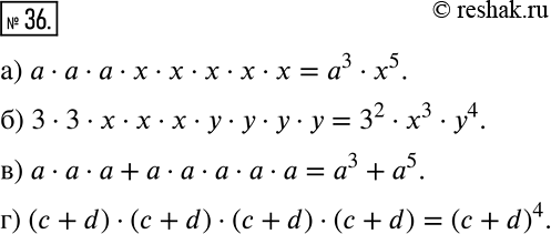
Упростите:
а) а * а * а * х * х * х * х * х;
б) 3 * 3 * х * х * х * у * у * у * у;
в) а * а * а + а * а * а * а * а;
г) (с + d) * (с + d) * (с + d) * (с + d).
Популярные решебники 7 класс Все решебники
*размещая тексты в комментариях ниже, вы автоматически соглашаетесь с пользовательским соглашением