Упр.320(стар учебник) ГДЗ Дорофеев Суворова 8 класс (Алгебра)
Решение #1

Рассмотрим вариант решения задания из учебника Дорофеев, Суворова, Бунимович 8 класс, Просвещение:
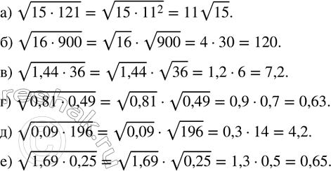
Вычислите:
а) v(15•121);
б) v(16•900);
в) v(1,44•36);
г) v(0,81•0,49);
д) v(0,09•196);
е) v(1,69•0,25).
Популярные решебники 8 класс Все решебники
*размещая тексты в комментариях ниже, вы автоматически соглашаетесь с пользовательским соглашением