Упр.208(стар учебник) ГДЗ Дорофеев Суворова 8 класс (Алгебра)
Решение #1

Рассмотрим вариант решения задания из учебника Дорофеев, Суворова, Бунимович 8 класс, Просвещение:
Докажите, что:
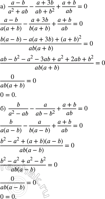
а) (a-b)/(a^2+ab)-(a+3b)/(ab+b^2 )+(a+b)/ab=0;
б) b/(a^2-ab)-a/(ab-b^2 )+(a+b)/ab=0.
Популярные решебники 8 класс Все решебники
*размещая тексты в комментариях ниже, вы автоматически соглашаетесь с пользовательским соглашением