Упр.207(стар учебник) ГДЗ Дорофеев Суворова 8 класс (Алгебра)
Решение #1

Рассмотрим вариант решения задания из учебника Дорофеев, Суворова, Бунимович 8 класс, Просвещение:
Упростите выражение:
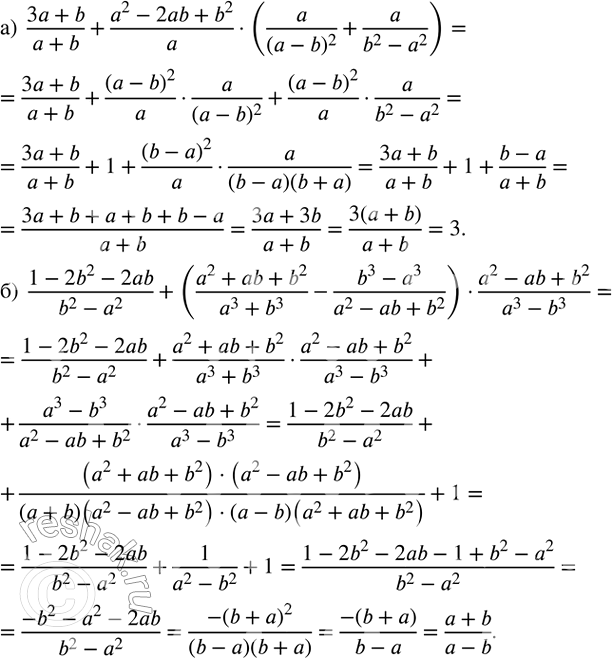
а) (3a+b)/(a+b)+(a^2-2ab+b^2)/a•(a/(a-b)^2 +a/(b^2-a^2 ));
б) (1-2b^2-2ab)/(b^2-a^2 )+((a^2+ab+b^2)/(a^3+b^3 )-(b^3-a^3)/(a^2-ab+b^2 ))•(a^2-ab+b^2)/(a^3-b^3 ).
Популярные решебники 8 класс Все решебники
*размещая тексты в комментариях ниже, вы автоматически соглашаетесь с пользовательским соглашением