Упр.206(стар учебник) ГДЗ Дорофеев Суворова 8 класс (Алгебра)
Решение #1

Рассмотрим вариант решения задания из учебника Дорофеев, Суворова, Бунимович 8 класс, Просвещение:
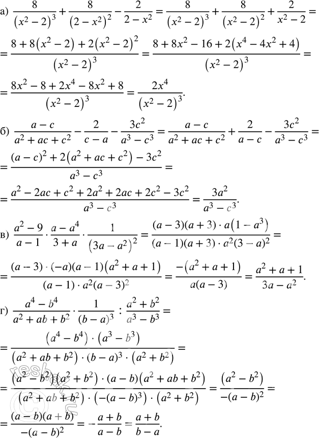
Упростите выражение:
а) 8/(x^2-2)^3 +8/(2-x^2 )^2 -2/(2-x^2 );
б) (a-c)/(a^2+ac+c^2 )-2/(c-a)-(3c^2)/(a^3-c^3 );
в) (a^2-9)/(a-1)•(a-a^4)/(3+a)•1/(3a-a^2 )^2 ;
г) (a^4-b^4)/(a^2+ab+b^2 )•1/(b-a)^3 :(a^2+b^2)/(a^3-b^3 ).
Популярные решебники 8 класс Все решебники
*размещая тексты в комментариях ниже, вы автоматически соглашаетесь с пользовательским соглашением