Упр.204(стар учебник) ГДЗ Дорофеев Суворова 8 класс (Алгебра)
Решение #1

Рассмотрим вариант решения задания из учебника Дорофеев, Суворова, Бунимович 8 класс, Просвещение:
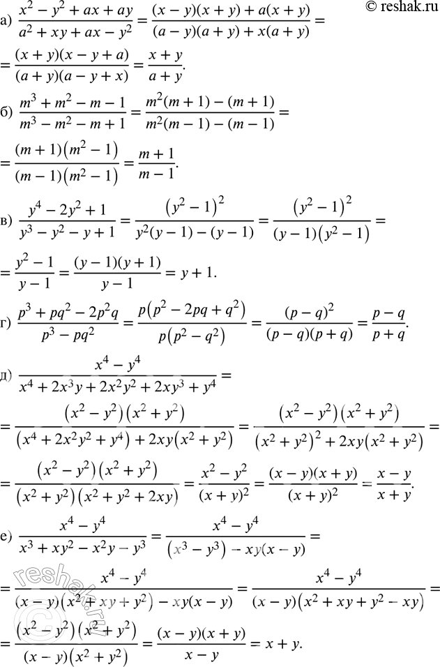
Сократите дробь:
а) (x^2-y^2+ax+ay)/(a^2+xy+ax-y^2 );
б) (m^3+m^2-m-1)/(m^3-m^2-m+1);
в) (y^4-2y^2+1)/(y^3-y^2-y+1);
г) (p^3+pq^2-2p^2 q)/(p^3-pq^2 );
д) (x^4-y^4)/(x^4+2x^3 y+2x^2 y^2+2xy^3+y^4 );
е) (x^4-y^4)/(x^3+xy^2-x^2 y-y^3 ).
Популярные решебники 8 класс Все решебники
*размещая тексты в комментариях ниже, вы автоматически соглашаетесь с пользовательским соглашением