Упр.202(стар учебник) ГДЗ Дорофеев Суворова 8 класс (Алгебра)
Решение #1

Рассмотрим вариант решения задания из учебника Дорофеев, Суворова, Бунимович 8 класс, Просвещение:
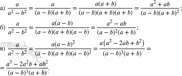
Приведите дробь a/(a^2-b^2) к знаменателю:
а) (a-b) (a+b)^2;
б) (a-b)^2 (a+b);
в) (a-b)^3 (a+b).
Популярные решебники 8 класс Все решебники
*размещая тексты в комментариях ниже, вы автоматически соглашаетесь с пользовательским соглашением