Упр.201(стар учебник) ГДЗ Дорофеев Суворова 8 класс (Алгебра)
Решение #1

Рассмотрим вариант решения задания из учебника Дорофеев, Суворова, Бунимович 8 класс, Просвещение:
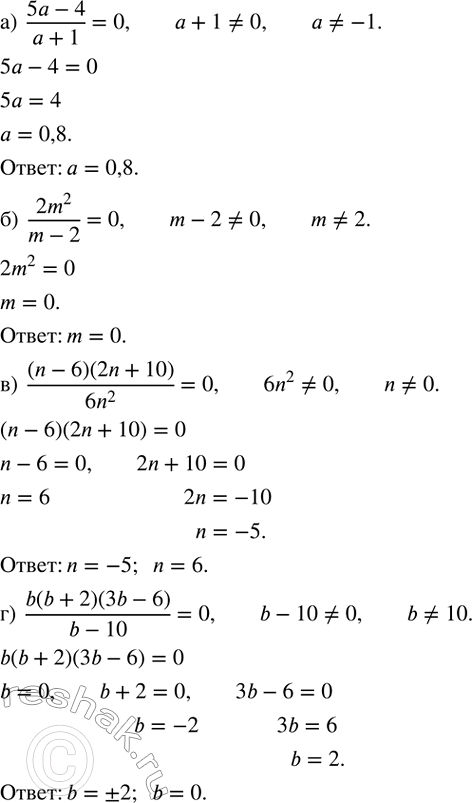
Найдите значения переменной, при которых значение дроби равно нулю:
а) (5a-4)/(a+1);
б) (2m^2)/(m-2);
в) (n-6)(2n+10)/(6n^2 );
г) b(b+2)(3b-6)/(b-10).
Популярные решебники 8 класс Все решебники
*размещая тексты в комментариях ниже, вы автоматически соглашаетесь с пользовательским соглашением