Упр.190(стар учебник) ГДЗ Дорофеев Суворова 9 класс (Алгебра)
Решение #1

Рассмотрим вариант решения задания из учебника Дорофеев, Суворова, Бунимович 9 класс, Просвещение:
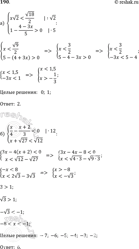
Сколько целых решений имеет система неравенств:
а) Система xv2 < v18/2 и 1 - (4 - 3x)/5 > 0;
б) Система x/4 - (x + 2)/3 < 0 и x + v27 < v12?
Популярные решебники 9 класс Все решебники
*К сожалению, временные проблемы с публикацией комментариев с мобильных устройств.