Упр.183(стар учебник) ГДЗ Дорофеев Суворова 9 класс (Алгебра)
Решение #1

Рассмотрим вариант решения задания из учебника Дорофеев, Суворова, Бунимович 9 класс, Просвещение:
Упростите выражение:
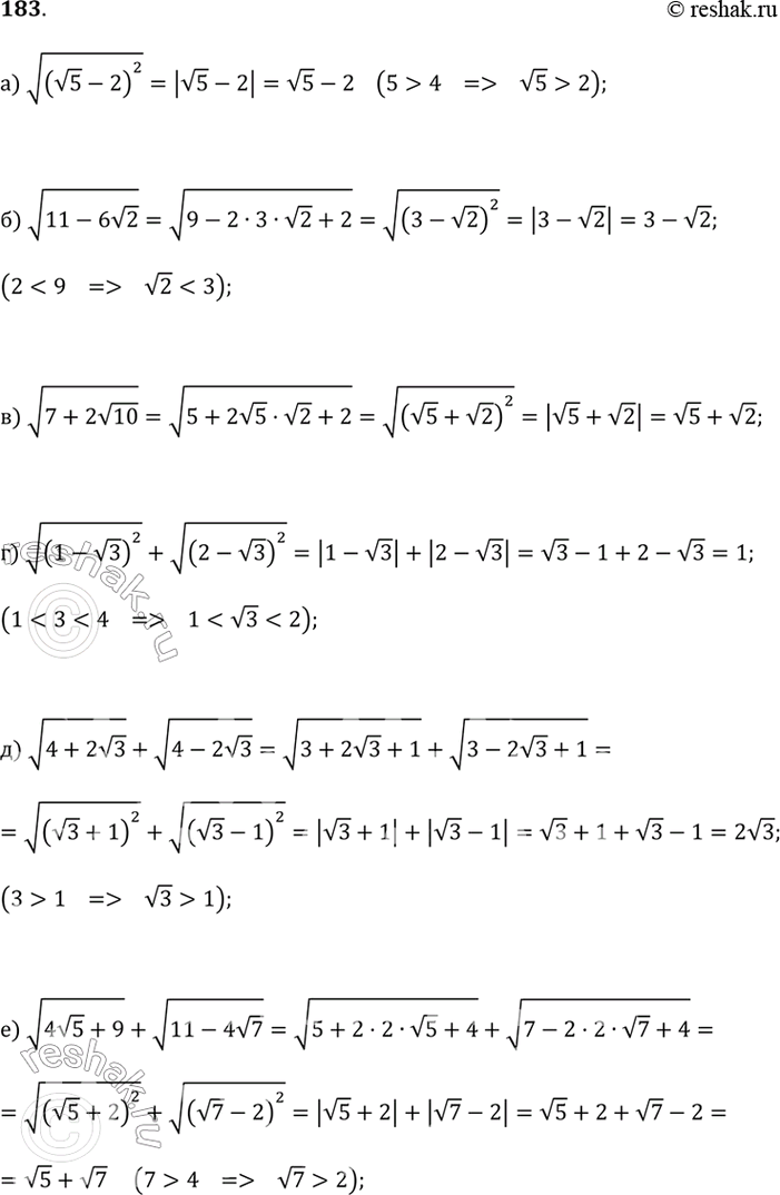
а) v(v5 - 2)^2;
б) v(11 - 6v2);
в) v(7 + 2v10);
г) v(1 - v3)^2 + v(2 - v3)^2;
д) v(4 + 2v3) + (4 - 2v3);
е) v(4v5 + 9) + v(11 - 4v7).
Указание, б), в) Представьте подкоренное выражение в виде квадрата двучлена, например:
11 - 4v7 = 7 - 2 · 2 · v7 + 4 = (v7 - 2)^2;
8 + 2v15 = 5 + 2v5 · v3 + 3 = (v5 + v3)^2.
Популярные решебники 9 класс Все решебники
*К сожалению, временные проблемы с публикацией комментариев с мобильных устройств.