Упр.182(стар учебник) ГДЗ Дорофеев Суворова 9 класс (Алгебра)
Решение #1

Рассмотрим вариант решения задания из учебника Дорофеев, Суворова, Бунимович 9 класс, Просвещение:
Между какими соседними целыми числами заключено выражение:
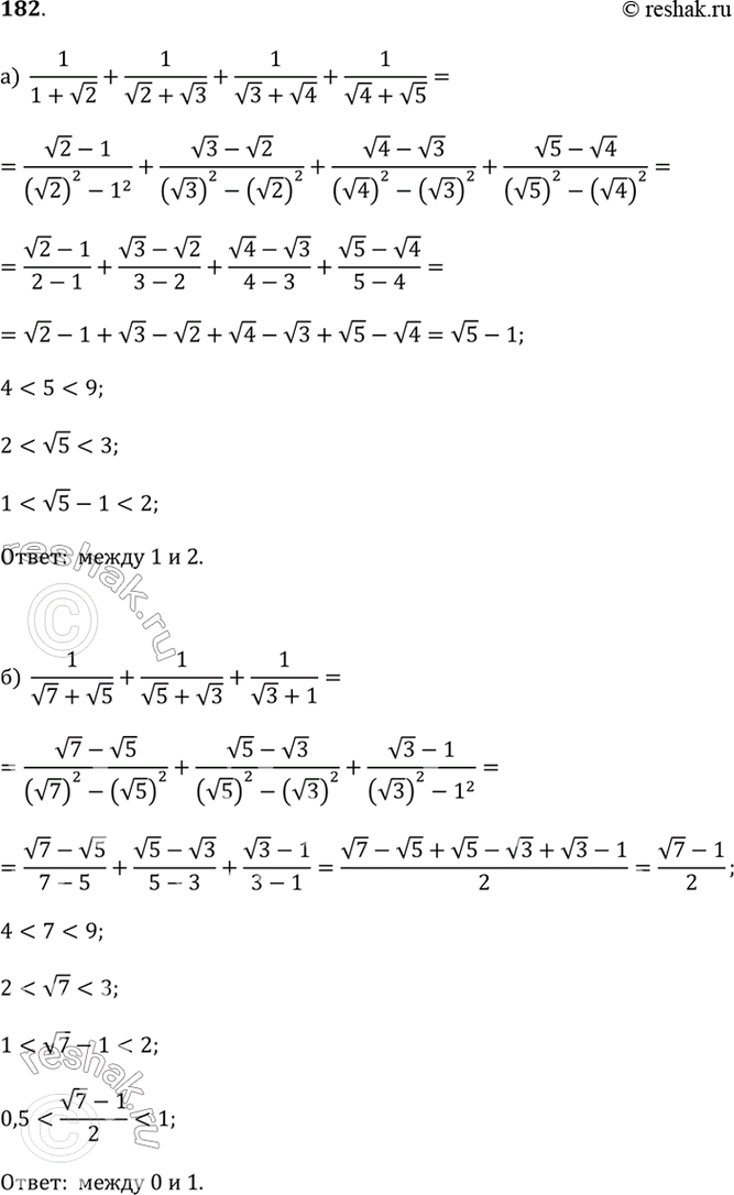
а) 1 / (1 + v2) + 1 / (v2 + v3) + 1 / (v3 + v4) + 1 / (v4 + v5);
б) 1 / (v7 + v5) + 1 / (v5 + v3) + 1 / (v3 + 1)?
Популярные решебники 9 класс Все решебники
*К сожалению, временные проблемы с публикацией комментариев с мобильных устройств.