Упр.141(стар учебник) ГДЗ Дорофеев Суворова 9 класс (Алгебра)
Решение #1

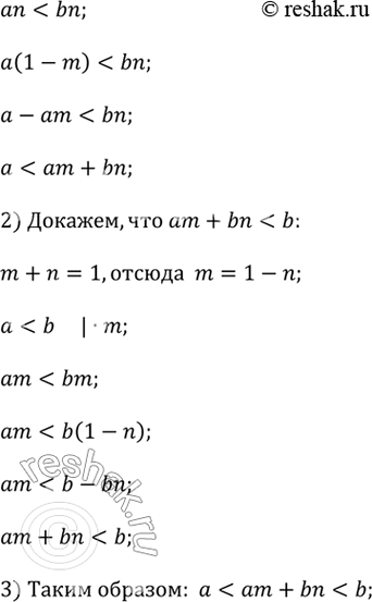
Рассмотрим вариант решения задания из учебника Дорофеев, Суворова, Бунимович 9 класс, Просвещение:
а) Докажите, что если а < и, то а < 0,17а + 0,83b < b.
б) Докажите, что если а < b и m и n — положительные действительные числа, сумма которых равна 1, то а < am + bn < b.
Популярные решебники 9 класс Все решебники
*размещая тексты в комментариях ниже, вы автоматически соглашаетесь с пользовательским соглашением