Упр.136(стар учебник) ГДЗ Дорофеев Суворова 9 класс (Алгебра)
Решение #1

Рассмотрим вариант решения задания из учебника Дорофеев, Суворова, Бунимович 9 класс, Просвещение:
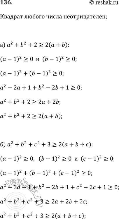
Докажите неравенство:
а) а^2 + b^2 + 2 ? 2(а + b);
б) а^2 + b^2 + с^2 + 3 ? 2(а + b + с).
Популярные решебники 9 класс Все решебники
*К сожалению, временные проблемы с публикацией комментариев с мобильных устройств.