Упр.127(стар учебник) ГДЗ Дорофеев Суворова 9 класс (Алгебра)
Решение #1

Рассмотрим вариант решения задания из учебника Дорофеев, Суворова, Бунимович 9 класс, Просвещение:
Докажите, что для любых чисел а и b:
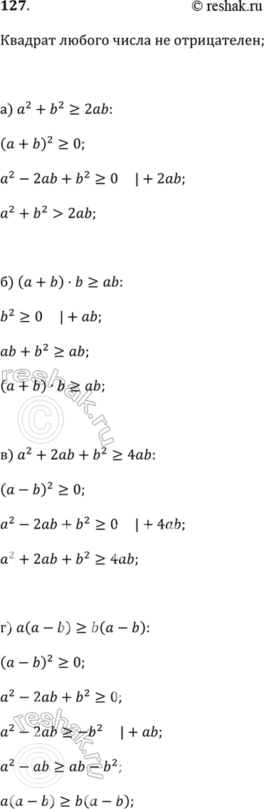
а) a^2 + b^2 ? 2ab;
б) (a + b) · b ? ab;
в) a^2 + 2ab + b^2 ? 4ab;
г) a · (a - b) ? b · (a - b);
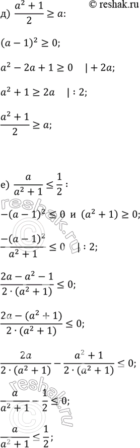
д) (a^2 + 1) / 2 ? a;
е) a / (a^2 + 1) ? 1/2.
Популярные решебники 9 класс Все решебники
*размещая тексты в комментариях ниже, вы автоматически соглашаетесь с пользовательским соглашением