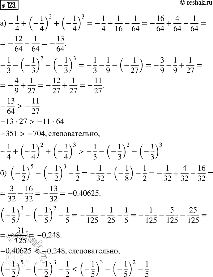
Упр.123(стар учебник) ГДЗ Дорофеев Суворова 7 класс (Алгебра)
Решение #1

Рассмотрим вариант решения задания из учебника Дорофеев, Суворова, Бунимович 7 класс, Просвещение:
Сравните значения выражений:
а) -1/4 + (-1/4)2 + (-1/4)3 и -1/3 - (-1/3)2 - (-1/3)3;
б) (-1/2)5 - (-1/2)3 - 1/2 и (-1/5)3 - (-1/5)2 - 1/5.
Популярные решебники 7 класс Все решебники
*К сожалению, временные проблемы с публикацией комментариев с мобильных устройств.