Упр.122(стар учебник) ГДЗ Дорофеев Суворова 7 класс (Алгебра)
Решение #1

Рассмотрим вариант решения задания из учебника Дорофеев, Суворова, Бунимович 7 класс, Просвещение:
Найдите значение выражения при заданных значениях переменных:
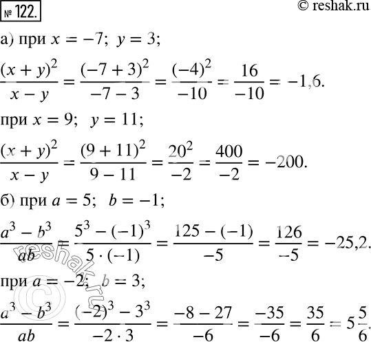
а) (x+y)2/(x-y) при х = -7, у = 3; при х = 9, у =11;
б) (a3-b3)/ab при a = 5, b = -1; при а = -2, b = 3.
Популярные решебники 7 класс Все решебники
*К сожалению, временные проблемы с публикацией комментариев с мобильных устройств.