Упр.108(стар учебник) ГДЗ Дорофеев Суворова 9 класс (Алгебра)
Решение #1

Рассмотрим вариант решения задания из учебника Дорофеев, Суворова, Бунимович 9 класс, Просвещение:
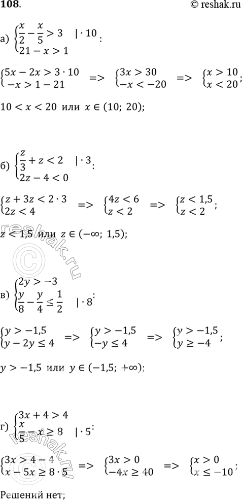
Решите систему неравенств (106—108).
а) Система x/2-x/5 > 3 и 21-x > 1;
б) Система z/3+z < 2 и 2z-4 < 0;
в) Система 2y > -3 и y/8-y/4?1/2;
г) Система 3x+4 > 4 и x/5-x?8;
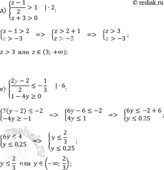
д) Система (z-1)/2 > 1 и z+3 > 0;
е) Система (2y-2)/2?-1/3 и 1-4y?0;
Популярные решебники 9 класс Все решебники
*К сожалению, временные проблемы с публикацией комментариев с мобильных устройств.