Это надо уметь Глава 5 ГДЗ Дорофеев Суворова 8 класс (Алгебра)
Решение #1

Рассмотрим вариант решения задания из учебника Дорофеев, Суворова, Бунимович 8 класс, Просвещение:
В таблице приведены данные температуры воздуха 10 апреля в городе Грибове.
Постройте график температуры и определите:
а) в какое время суток температура равнялась 0^о C;
б) в какое время суток температура возрастала; убывала; была положительной; была отрицательной;
в) каково максимальное значение температуры, каково ее минимальное значение;
г) в каких границах менялась температура в течение суток;
д) чему равнялась температура в 17 ч;
е) в какое время суток температура равнялась 8^о C.
2. Функция задана формулой y=x^2-4.
а) Найдите значение функции при x=0; -3.
б) При каких значениях x значение функции равно -3
3. Функция задана формулой f(x)=2x-5.
а) Найдите f(0), f(-1,5).
б) Найдите значение x, при котором f(x)=18; f(x)=0.
4. Определите нули функции y=x^2+3x.
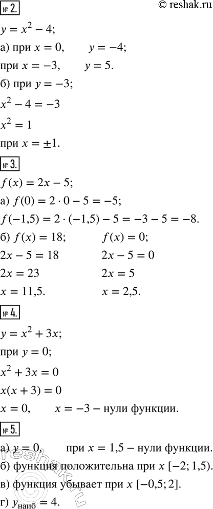
5. По графику функции (см.рис.5.30) определите:
а) нули функции;
б) значения аргумента, при которых функция положительна;
в) промежуток, на котором функция убывает;
г) наибольшее значение функции.
6. От Москвы до Ржева 240 км. Автобус выходит из Москвы и едет во Ржев со скредней скоростью 60 км/ч. Расстояние y, которое остается проехать до Ржева, - это функция времени x движения автобуса.
а) Задайте эту функцию формулой.
б) Какое расстояние останется проехать автобусу через 1 ч после начала движения через 2 ч через 4 ч
в) Через какое время автобус будет находиться в 100 км от Ржева в 80 км от Ржева
г) Что является графиком данной функции
д) Возрастающей или убывающей является функция
е) Постройте график данной функции (выберите удобные единицы на осях).
7. Постройте график функции:
а) y=-1/3 x; б) y=1,5x+6; в) y=-0,5x+1.
8. Постройте график функции y=-2x-0,5 и ответьте на вопросы:
а) При каких значениях x значения функции равны 0 больше 0 меньше 0
б) Возрастающей или убывающей является функция
9. Постройте график функиции y=6/x.
а) Укажите область определения этой функции.
б) При каких значениях x значения функции больше нуля меньше нуля
в) Возрастает или убывает функция при x < 0 при x > 0
10. Постройте график функции f(x)=-8/x. С помощью графика найдите приближенно:
а) f(3), f(-6); б) значение x, при котором f(x)=5, f(x)=-7.
Популярные решебники 8 класс Все решебники
*размещая тексты в комментариях ниже, вы автоматически соглашаетесь с пользовательским соглашением