Это надо уметь Глава 4 ГДЗ Дорофеев Суворова 8 класс (Алгебра)
Решение #1

Рассмотрим вариант решения задания из учебника Дорофеев, Суворова, Бунимович 8 класс, Просвещение:
Найдите какие-нибудь два решения уравнения 7x+2y=14.
2. Является ли решением уравнения xy-x=18 пара чисел (-3;-5), (-5;-3), (2;10)?
3. Проходит ли прямая 3x-4y=48 через точку A (20;2)? через точку B (24;6)?
4. Вычислите координаты точек пересечения прямой 4x-5y=10 с осями координат.
5. Постройте график уравнения:
а) 9x-3y=6; в) y=1/3x; д) y=-5;
б) y=-4x+2; г) y=-x; е) x=4.
6. Решите систему уравнений:
а) {(5x+2y=8
3x-y=7)+
б) {(3x+4y=13
5x+2y=17)+
в) {(x-y=5
xy=14)+
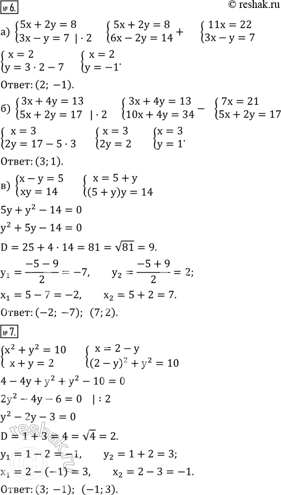
7. Пользуясь рисунком 4.45, решите систему уравнений {(x^2+y^2=10
x+y=2)+
8. Вычислите координаты точки пересечения прямых 3x-y=2 и 2x-y=3.
9. Вычислите координаты точки пересечения прямой y=2+x и окружности x^2+y^2=10.
10. Три карандаша и пять авторучек вместе стоят 50 р., а шесть карандашей и три авторучки вместе стоят 51 р. Сколько стоит карандаш и авторучка в отдельности?
11. Найдите стороны прямоугольника, площадь которого равна 24 см^2, а периметр равен 20 см.
Популярные решебники 8 класс Все решебники
*размещая тексты в комментариях ниже, вы автоматически соглашаетесь с пользовательским соглашением