Проверьте себя (тест) Глава 1 ГДЗ Дорофеев Суворова 8 класс (Алгебра)
Решение #1

Рассмотрим вариант решения задания из учебника Дорофеев, Суворова, Бунимович 8 класс, Просвещение:
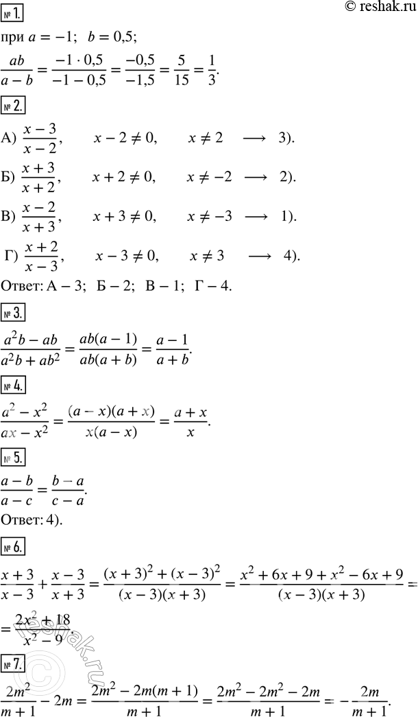
Найдите значение дроби ab/(a-b) при a=-1, b=0,5.
2. Для каждой дроби укажите множество допустимых значений переменной.
А) (x-3)/(x-2) Б) (x+3)/(x+2) В) (x-2)/(x+3) Г) (x+2)/(x-3)
1) x?-3 2) x?-2 3) x?2 4) x?3
3. Сократите дробь (a^2 b-ab)/(a^2 b+ab^2 ).
4. Сократите дробь (a^2-x^2)/(ax-x^2 ).
5. Укажите выражение, равное дроби (a-b)/(a-c).
1) (b-a)/(a-c) 2) (a-b)/(c-a) 3) -(b-a)/(c-a) 4) (b-a)/(c-a)/
6. Найдите сумму дробей: (x+3)/(x-3)+(x-3)/(x+3).
7. Представьте в виде дроби выражение 2m^2/(m+1)-2m.
8. Выполните деление: (x^2-y^2)/(2x^2 ) :(xy-y^2)/x.
9. Упростите выражение (a/(a-b)-1) :(a/(a+b)-1).
10. Какое из выражений равно степени 5^(-n)?
1)-1/5^n 2) 1/5^n 3) -5^(-n) 4)-1/5^(-n).
11. На координатной прямой точкой отмечено число a. Сравните числа a и a^(-1).
1) a < a^(-1) 2) a > a^(-1) 3) a=a^(-1) 4) невозможно сравнить.
12. Миллиардные доли единиц обозначаются приставкой «нано-». Например, 1 наномерт = 10^(-9) м. ыразите эту величину в мм.
1) 10^(-3) мм 2) 10^(-7) мм 3) 10^(-6) мм 4) 10^(-12) мм.
13. Укажите наименьшее из чисел.
1) 1,2•?10?^(-8) 2) 5,6•?10?^(-8) 3) 1,2•?10?^(-9) 4) 5,6•?10?^(-9).
14. Сократите дробь (2^n+2^(n-2))/2^(n-4).
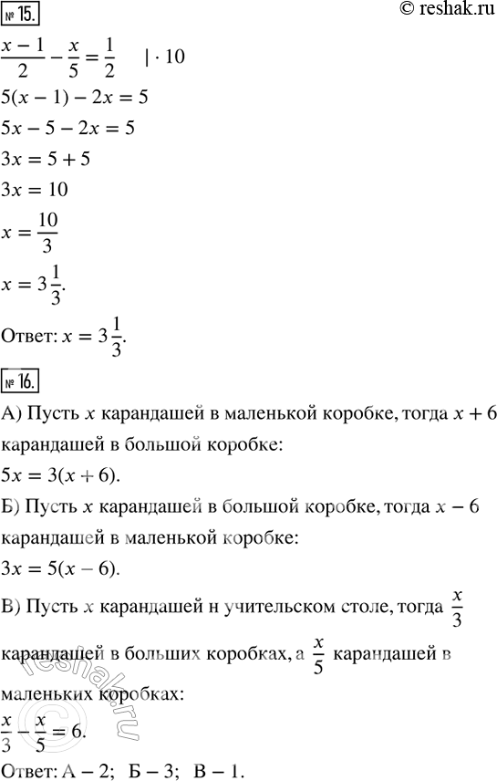
15. Решите уравнение (x-1)/2-x/5=1/2.
16. Все имеющиеся на учительском столе карандаши можно разложить поровну в 3 больние коробки или в 5 маленьких. В маленькую коробку помещается на 6 карандашей меньше, чем в большую. Сколько карандашей на учительском столе?
Решая эту задачу, три ученика обозначили буквой x разные величины и составили разные уравнения, причем все они были правильными.
Введенные обозначения: Уравнения:
А) x - число карандашей в маленькой коробке 1) x/3-x/5=6
Б) x - число карандашей в большой коробке 2) 5x=3(x+6)
В) x - число карандашей на учительском столе 3) 3x=5(x-6)
Соотнесите введенное обозначение с уравнением.
Популярные решебники 8 класс Все решебники
*размещая тексты в комментариях ниже, вы автоматически соглашаетесь с пользовательским соглашением