Ответы на вопросы Глава 5 ГДЗ Атанасян 10-11 класс по геометрии (Геометрия)
Решение #1

Совет дня!
Сайт решак.ру отлично работает на мобильных телефонах, им можно успешно пользоваться во время урока. Телефон хорошо прячется за учебником или рукавом. Или можно сказать, что забыли учебник дома, а на телефоне у вас электронный.Популярные решебники 11 класс Все решебники
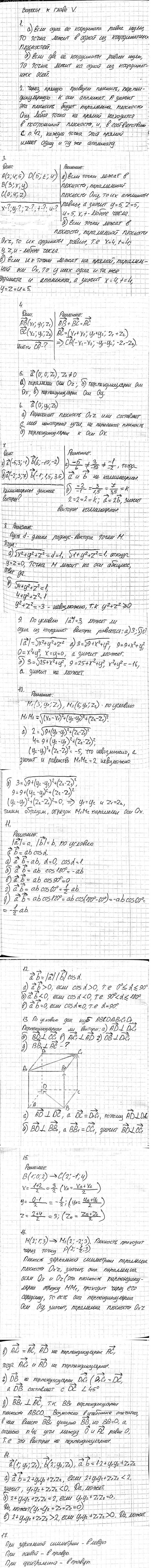
*К сожалению, временные проблемы с публикацией комментариев с мобильных устройств.