Упр.850 ГДЗ Атанасян 10-11 класс по геометрии (Геометрия)
Решение #1
Решение #2
Решение #3

Рассмотрим вариант решения задания из учебника Атанасян, Бутузов, Кадомцев 11 класс, Просвещение:
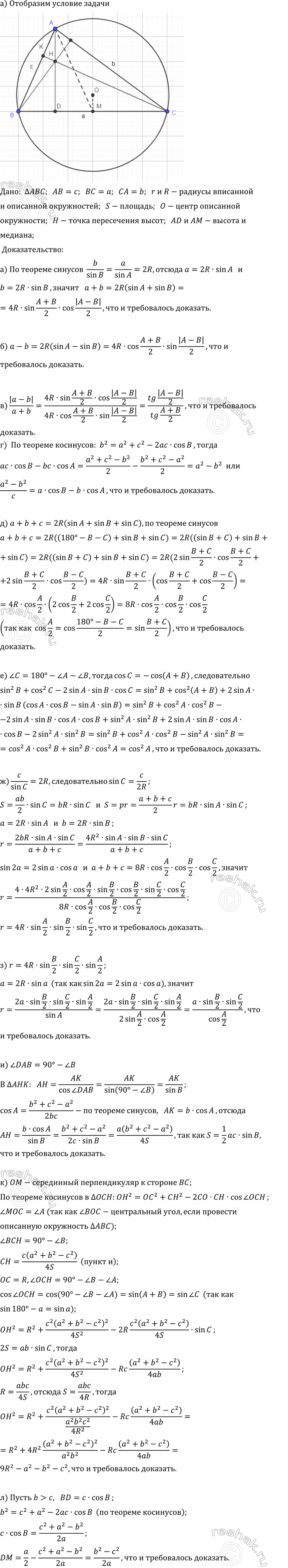
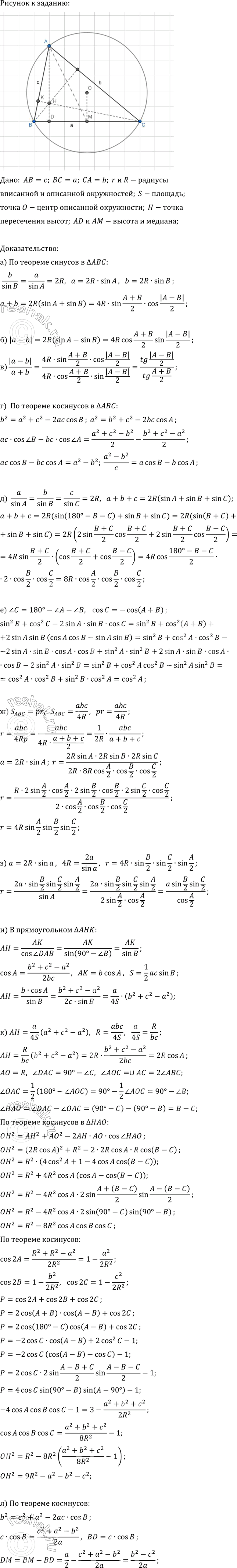
В треугольнике ABC со сторонами AB=с, BC=а и CA=b r и R — радиусы вписанной и описанной окружностей, S — площадь, точка О — центр описанной окружности, Н — точка пересечения высот, отрезки AD и АМ — высота и медиана. Докажите, что:
а) a+b=4R sin(A+B)/2 cos|A-B|/2; б) |a-b|=4R cos(A+B)/2 sin|A-B|/2;
в) |a-b|/(a+b)=tg(1/2|A-B|)/tg(1/2(A+B)); г) (a^2-b^2)/c=a cos(B)-b cos(A);
д) a+b+c=8R cos(A/2) cos(B/2) cos(C/2);
е) cos^2(A)=sin^2(B)+cos^2(C)-2sin(A)sin(B)cos(C);
ж) r=4R sin(A/2) sin(B/2) sin(C/2); з) r=a sin(B/2) sin(C/2)/cos(A/2);
и) AH=a/(4S) (b^2+c^2-a^2); к) OH^2=9R^2-a^2-b^2-c^2; л) DM=|b^2-c^2|/(2a).
Популярные решебники 11 класс Все решебники
*размещая тексты в комментариях ниже, вы автоматически соглашаетесь с пользовательским соглашением