Упр.766 ГДЗ Атанасян 10-11 класс по геометрии (Геометрия)
Решение #1
Решение #2
Решение #3

Рассмотрим вариант решения задания из учебника Атанасян, Бутузов, Кадомцев 11 класс, Просвещение:
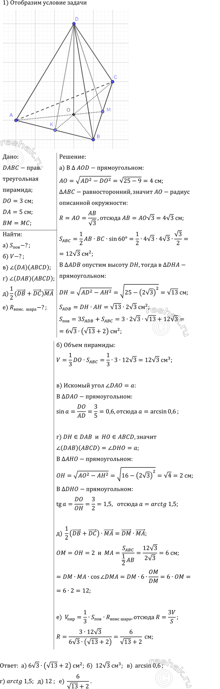
В правильной треугольной пирамиде DABC высота DO равна 3 см, а боковое ребро DA равно 5 см. Найдите:
а) площадь полной поверхности пирамиды;
б) объём пирамиды;
в) угол между боковым ребром и плоскостью основания;
г) угол наклона боковой грани к плоскости основания;
д) скалярное произведение векторов 1/2(DB+DC)MA, где М — середина ребра ВС;
е) радиус шара, вписанного в пирамиду.
Популярные решебники 11 класс Все решебники
*К сожалению, временные проблемы с публикацией комментариев с мобильных устройств.