Упр.765 ГДЗ Атанасян 10-11 класс по геометрии (Геометрия)
Решение #1
Решение #2
Решение #3

Рассмотрим вариант решения задания из учебника Атанасян, Бутузов, Кадомцев 11 класс, Просвещение:
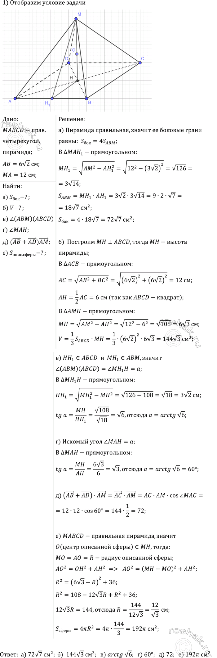
В правильной четырёхугольной пирамиде MABCD сторона АВ основания равна 6v2 см, а боковое ребро МА равно 12 см. Найдите:
а) площадь боковой поверхности пирамиды;
б) объём пирамиды;
в) угол наклона боковой грани к плоскости основания;
г) угол между боковым ребром и плоскостью основания;
д) скалярное произведение векторов (AB+AD)AM;
е) площадь сферы, описанной около пирамиды.
Популярные решебники 11 класс Все решебники
*К сожалению, временные проблемы с публикацией комментариев с мобильных устройств.