Упр.757 ГДЗ Атанасян 10-11 класс по геометрии (Геометрия)
Решение #1
Решение #2

Рассмотрим вариант решения задания из учебника Атанасян, Бутузов, Кадомцев 11 класс, Просвещение:
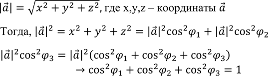
Лучи OA, OB, OC и OM расположены так, что ZAOB = ZBOC = = ZCOA = 90°, ZAOM = ^1, ZBOM = ф2, ZCOM = < р3. Докажите, ЧТО COS2 ф] + COS2 ф2 + cos2 ф3 = 1.
Популярные решебники 11 класс Все решебники
*К сожалению, временные проблемы с публикацией комментариев с мобильных устройств.