Упр.752 ГДЗ Атанасян 10-11 класс по геометрии (Геометрия)
Решение #1
Решение #2

Рассмотрим вариант решения задания из учебника Атанасян, Бутузов, Кадомцев 11 класс, Просвещение:
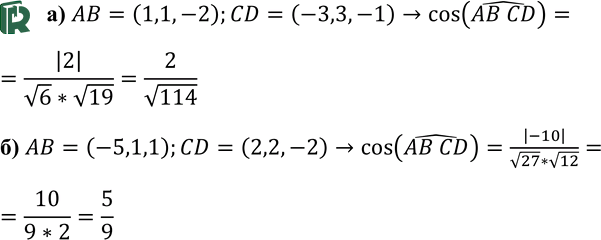
Вычислите косинус угла между прямыми AB и CD, если: а) A (7; -8; 15), B (8; -7; 13), C (2; -3; 5), D (-1; 0; 4); б) A (8; -2; 3), B(3; -l;4), C(5; -2; 0), D(7; 0; -2).
Популярные решебники 11 класс Все решебники
*размещая тексты в комментариях ниже, вы автоматически соглашаетесь с пользовательским соглашением