Упр.738 ГДЗ Атанасян 10-11 класс по геометрии (Геометрия)
Решение #1
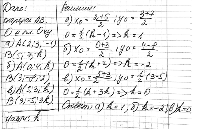
Решение #2

Рассмотрим вариант решения задания из учебника Атанасян, Бутузов, Кадомцев 11 класс, Просвещение:
Середина отрезка AB лежит в плоскости Оху. Найдите k, если: а) A (2; 3; -1), B (5; 7; k); б) A (0; 4; k), B (3; -8; 2); в) A (5; 3; k), B (3; -5; 3k).
Популярные решебники 11 класс Все решебники
*размещая тексты в комментариях ниже, вы автоматически соглашаетесь с пользовательским соглашением