Упр.705 ГДЗ Атанасян 10-11 класс по геометрии (Геометрия)
Решение #1
Решение #2
Решение #3

Рассмотрим вариант решения задания из учебника Атанасян, Бутузов, Кадомцев 11 класс, Просвещение:
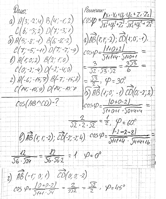
Вычислите угол между прямыми AB и CD, если: а) A (3; -2; 4), B (4; -1; 2), C (6; -3; 2), D (7; -3; 1); б) A (5; -8; -1), B (6; -8; -2), C (7; -5; -11), D (7; -7; -9); в) A (1; 0; 2), B (2; 1; 0), C (0; -2; -4), D (-2; -4; 0); г) A (^; -15; 7), B (-7; -15; 8), C (14; -10; 9), D (14; -10; 7).
Популярные решебники 11 класс Все решебники
*размещая тексты в комментариях ниже, вы автоматически соглашаетесь с пользовательским соглашением