Упр.700 ГДЗ Атанасян 10-11 класс по геометрии (Геометрия)
Решение #1
Решение #2
Решение #3

Рассмотрим вариант решения задания из учебника Атанасян, Бутузов, Кадомцев 11 класс, Просвещение:
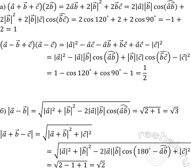
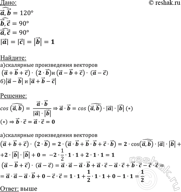
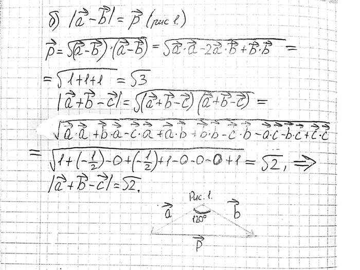
Векторы a и b перпендикулярны к вектору с, ab= 120°, |a| = = I b I = I с I = 1. Вычислите: а) скалярные произведения (a + b + c)(2b)
и (a-b + c)(a-c); б) |a-5| и |a+ft-c|.
Популярные решебники 11 класс Все решебники
*К сожалению, временные проблемы с публикацией комментариев с мобильных устройств.