Упр.696 ГДЗ Атанасян 10-11 класс по геометрии (Геометрия)
Решение #1
Решение #2

Рассмотрим вариант решения задания из учебника Атанасян, Бутузов, Кадомцев 11 класс, Просвещение:
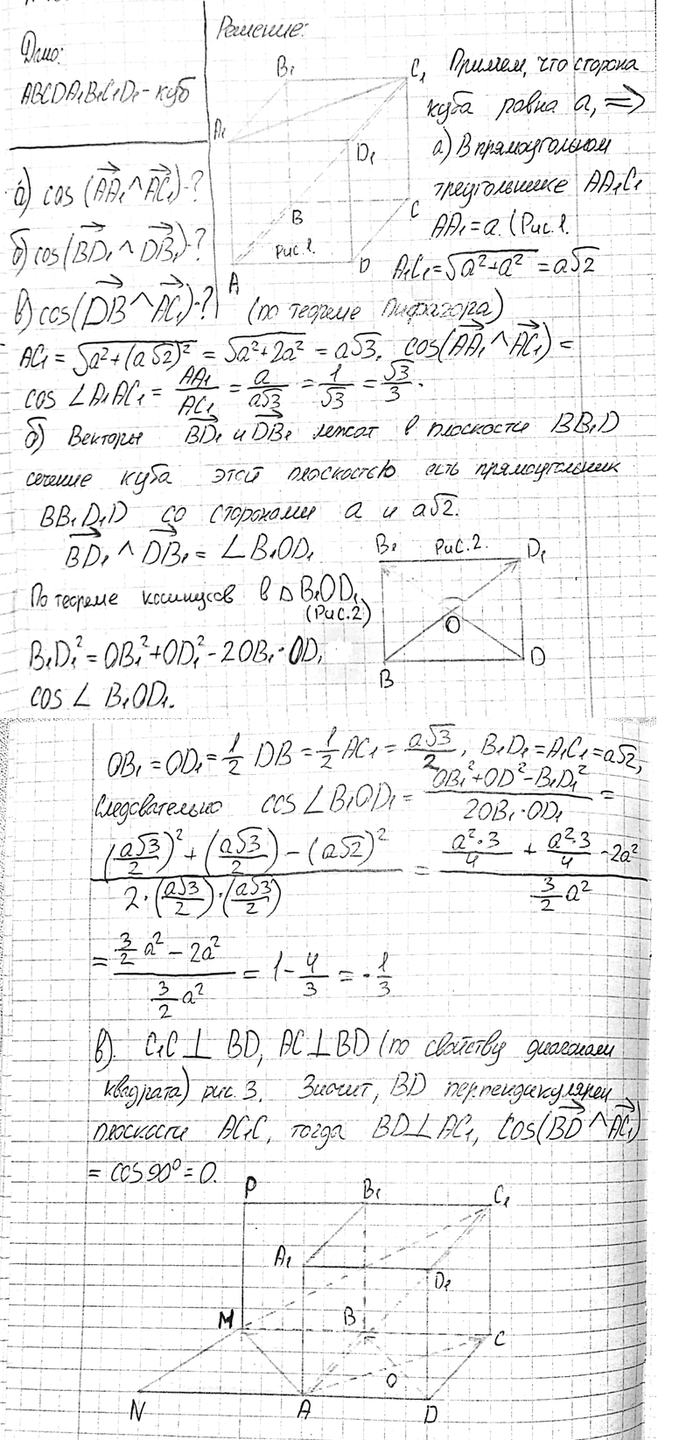
Дан куб ABCDA1B1C1D1. Вычислите косинус угла между векторами: а) AA1 и AC1; б) BD1 и DB1; в) DB и AC1.
Популярные решебники 11 класс Все решебники
*К сожалению, временные проблемы с публикацией комментариев с мобильных устройств.