Упр.692 ГДЗ Атанасян 10-11 класс по геометрии (Геометрия)
Решение #1
Решение #2

Рассмотрим вариант решения задания из учебника Атанасян, Бутузов, Кадомцев 11 класс, Просвещение:
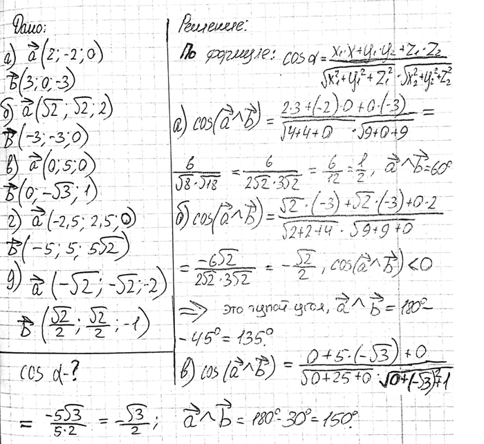
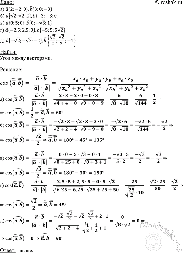
Вычислите угол между векторами: а) а {2; -2; 0} и b {3; 0; -3}; б) а {V2; V2; 2} и b {-3; -3; 0}; в) а {0; 5; 0} и b {0; -V3; 1};
г) а {-2,5; 2,5; 0} и b {-5; 5; 5^2}; д) d {-V2; -V2; -2} H&j^;^;-lj.
Популярные решебники 11 класс Все решебники
*К сожалению, временные проблемы с публикацией комментариев с мобильных устройств.