Упр.679 ГДЗ Атанасян 10-11 класс по геометрии (Геометрия)
Решение #1

Рассмотрим вариант решения задания из учебника Атанасян, Бутузов, Кадомцев 11 класс, Просвещение:
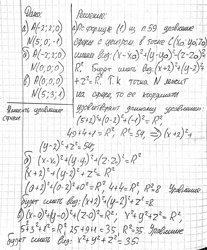
Напишите уравнение сферы с центром А, проходящей через точку N, если: а) A (-2; 2; 0), N (5; 0; -1); б) A (-2; 2; 0), N (0; 0; 0); в) A (0; 0; 0), N (5; 3; 1).
Популярные решебники 11 класс Все решебники
*размещая тексты в комментариях ниже, вы автоматически соглашаетесь с пользовательским соглашением