Упр.665 ГДЗ Атанасян 10-11 класс по геометрии (Геометрия)
Решение #1
Решение #2

Рассмотрим вариант решения задания из учебника Атанасян, Бутузов, Кадомцев 11 класс, Просвещение:
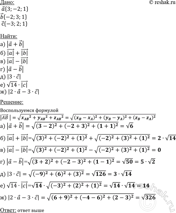
Даны векторы а {3; -2; 1}, b {-2; 3; 1} и с {-3; 2; 1}. Найдите:
а) \а + Ь\; б) |a|+|b|; в) |a|-|&|; г) |a-6|; д) |3c|; e) VH|c|;
ж) |2а - 3e|.
Популярные решебники 11 класс Все решебники
*размещая тексты в комментариях ниже, вы автоматически соглашаетесь с пользовательским соглашением