Упр.662 ГДЗ Атанасян 10-11 класс по геометрии (Геометрия)
Решение #1
Решение #2

Рассмотрим вариант решения задания из учебника Атанасян, Бутузов, Кадомцев 11 класс, Просвещение:
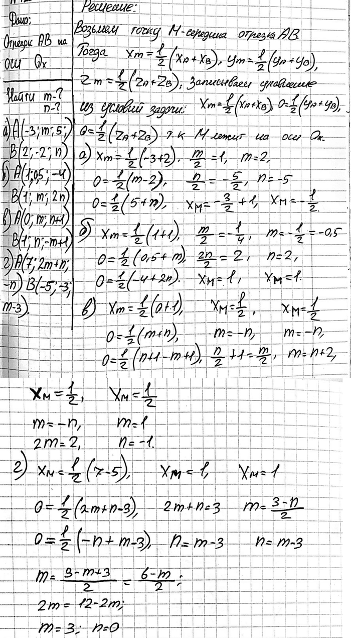
Середина отрезка AB лежит на оси Ox. Найдите m и n, если:
а)A(-3;m;5), B(2;-2;n); 6)A(l;0,5;-4), B(l;m;2n);
в) A(0; m; n + 1), B(1; n; -m + l); r)A(7; 2 m + n; -n), B (-5; -3; m - 3).
Популярные решебники 11 класс Все решебники
*К сожалению, временные проблемы с публикацией комментариев с мобильных устройств.