Упр.6.6 ГДЗ Дорофеев Суворова 8 класс (Алгебра)
Решение #1

Рассмотрим вариант решения задания из учебника Дорофеев, Суворова, Бунимович 8 класс, Просвещение:
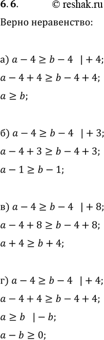
Известно, что a-4?b-4. Объясните, почему верно неравенство:
а) a?b; б) a-1?b-1; в) a+4?b+4; г) a-b?0.
Популярные решебники 8 класс Все решебники
*размещая тексты в комментариях ниже, вы автоматически соглашаетесь с пользовательским соглашением