Упр.6.50 ГДЗ Дорофеев Суворова 8 класс (Алгебра)
Решение #1

Рассмотрим вариант решения задания из учебника Дорофеев, Суворова, Бунимович 8 класс, Просвещение:
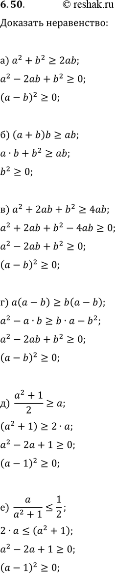
Докажите, что для любых чисел а и b:
а) a^2+b^2?2ab; в) a^2+2ab+b^2?4ab; д) (a^2+1)/2?a;
б) (a+b)b?ab; г) a(a-b)?b(a-b); е) a/(a^2+1)?1/2.
Популярные решебники 8 класс Все решебники
*размещая тексты в комментариях ниже, вы автоматически соглашаетесь с пользовательским соглашением