Упр.6.45 ГДЗ Дорофеев Суворова 8 класс (Алгебра)
Решение #1

Рассмотрим вариант решения задания из учебника Дорофеев, Суворова, Бунимович 8 класс, Просвещение:
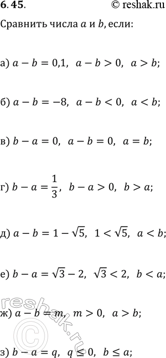
Сравните a и b, если известно, что:
а) a-b=0,1; д) a-b=1-v5;
б) a-b=-8; е) b-a=v3-2;
в) b-a=0; ж) a-b=m, m > 0;
г) b-a=1/3; з) b-a=, q?0.
Популярные решебники 8 класс Все решебники
*размещая тексты в комментариях ниже, вы автоматически соглашаетесь с пользовательским соглашением