Упр.6.38 ГДЗ Дорофеев Суворова 8 класс (Алгебра)
Решение #1

Рассмотрим вариант решения задания из учебника Дорофеев, Суворова, Бунимович 8 класс, Просвещение:
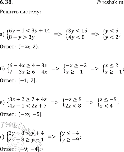
Решите систему неравенств:
а) {6y-1 < 3y+14, 8-u > 3y}; б) {6-4x?4-3x, 7-3x?6-4x};
в) {3z+2?7+4z, 4z-1 < 2z+7}; г) {2y+8?y+4, 2y+8?y-1}.
Популярные решебники 8 класс Все решебники
*размещая тексты в комментариях ниже, вы автоматически соглашаетесь с пользовательским соглашением