Упр.6.34 ГДЗ Дорофеев Суворова 8 класс (Алгебра)
Решение #1

Рассмотрим вариант решения задания из учебника Дорофеев, Суворова, Бунимович 8 класс, Просвещение:
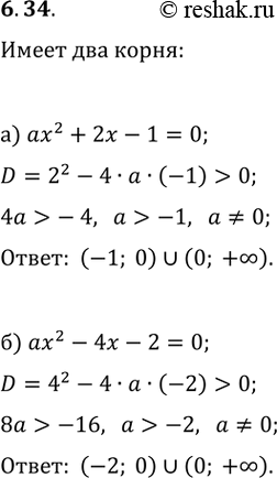
При каких значениях а уравнение имеет два корня:
а) ax^2+2x-1=0; б) ax^2-4x-2=0?
Подсказка. Не забудьте учесть, что рассматриваемое уравнение может иметь два корня только при условии, что a?0.
Популярные решебники 8 класс Все решебники
*размещая тексты в комментариях ниже, вы автоматически соглашаетесь с пользовательским соглашением