Упр.6.29 ГДЗ Дорофеев Суворова 8 класс (Алгебра)
Решение #1

Рассмотрим вариант решения задания из учебника Дорофеев, Суворова, Бунимович 8 класс, Просвещение:
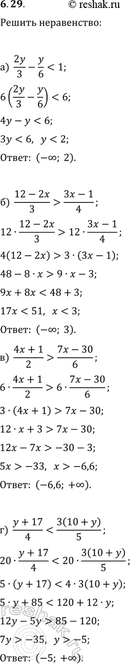
Решите неравенство:
а) 2y/3-y/6 < 1; в) (4x+1)/2 > (7x-30)/6;
б) (12-2x)/3 > (3x-1)/4; г) (y+17)/4 < 3(10+y)/5.
Популярные решебники 8 класс Все решебники
*размещая тексты в комментариях ниже, вы автоматически соглашаетесь с пользовательским соглашением